• 凯发k8官网

    文章横幅PC版
    文章横幅iPad版
    文章横幅手机版

    pki信任模型有哪些

    TIME:2019-03-21 13:50  click: 186 次 来源: 未知

    由于在世界上不可能建立一个所有潜在用户都共同信任的CA,因此,在电子商务活动中必然存在很多个CA。CA之间的结构关系,即信任关系称为信任模型。现在常见信任模型有以下几种:

    1.层次型信任模型

    这是最常用的一种,该模型是一棵翻转的树,其中树根代表根CA,它被该PKI体系中的所有实体所信任。根A下存在多级的子CA,根CA为自己和直接下级子CA颁发证书,无下级的CA称为叶A,叶CA为用户颁发证书。除根CA外的其他CA都由父CA颁发证书。

    这种模型中的证书链始于根CA,并且从根CA到需要认证的终端用户之间只存在条路径,在这条路径上的所有证书就构成了一个证书链。这种模型结构清晰,便于全局管理,但对于大范围内的商务活动,难以建立一个所有用户都信任的根CA,而且整个PKI的安全性都依赖于根CA,一旦根CA的私钥泄露或被破解,整个PKI体系将崩溃。

    因此,根CA的私钥必须得到特殊的保护,通常是让根CA始终保持离线状态(根CA付其他CA签发完证书让PKI生效后)。这是可行的,因为根CA只向其他上级CA签发字证书,其签发频率很低。相对而言,其他大多数CA都是在为最终实体签发证书,所以签发的频率较高,因而它们必须保持在线状态。

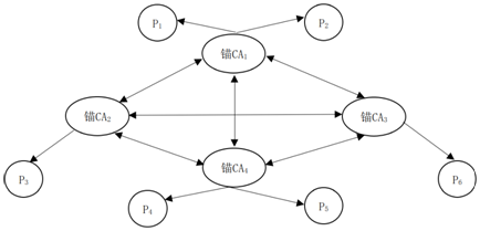
    2.网状信任模型

    这种模型中没有实体都信任的根CA,通常终端用户选择给自己发放证书的CA为根CA,各根CA之间以交叉认证的方式互相颁发证书,如下图所示。网状信任模型比较灵活,便于建立特定的信任关系,在有直接信任关系存在时,验证速度快。但信路径复杂,而且如果存在多条证书验证路径,需要考虑如何有效选择最短信任路径的问题。

    blob.png

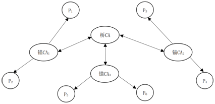
    3.桥信任模型

    在交叉验证中,网状信任模型的每一个CA需要向它信任的所有CA逐一颁发证书,如果CA比较多,则要颁发很多证书。桥信任模型也是用来连接不同的PKI体系,而且能避免上述网状模型的缺点。当根CA很多时,可以指定一个CA为不同的根CA颁发证书,这个被指定的CA称为桥CA,如下图所示。当增加一个根CA时,只需要与桥CA进行交叉认证,其他信任域不需要改变。建立桥CA后,其他根CA仍然都是信任锚,这样允许用户保留自已的原始信任锚,桥CA为不同的信任域之间建立对等的信任关系。

    blob.png

    4.web信任模型

    Web信任模型是在浏览器产品中内置了多个根CA证书,用户同时信任这些根CA并把它们作为信任锚。从本质上看,Web信任模型属于树形层次模型,浏览器厂商相当于根CA的作用。Web信任模型虽然简单,方便操作,但因为其多个根CA是预先安装在浏览器中的,用户一般不知道这些根CA证书的来源,无法判断是否都是可信任的,面且没有办法废除嵌入到浏览器中的根证书,一旦发现某个根密钥是“坏的”或者与根证书对应的私钥泄露了,让所有浏览器用户都有效地废除那个密钥的使用是不太可能的。此外,该模型还缺少有效方法在CA和用户之间建立合法协议。如果出现问题,只能由用户承担所有责任。

     

    上一篇:数字证书的作用 下一篇:RFID系统的安全需求